有源滤波器
2012-07-22

1 概述

1.1 滤波器的分类

有源滤波器实际上是一种具有特定频率响应的放大器。它是在运算放大器的基础上增加一些R、C等无源元件而构成的。

通常有源滤波器分为:

  • 低通滤波器(LPF)
  • 高通滤波器(HPF)
  • 带通滤波器(BPF)
  • 带阻滤波器(BEF)

它们的幅度频率特性曲线如图1所示。

图1 有源滤波器的频响

滤波器也可以由无源的电抗性元件或晶体构成,称为无源滤波器或晶体滤波器。

1.2 滤波器的用途

滤波器主要用来滤除信号中无用的频率成分,例如,有一个较低频率的信号,其中包含一些较高频率成分的干扰。滤波过程如图2所示。

图2 滤波过程

2 有源低通滤波器(LPF)

2.1 低通滤波器的主要技术指标

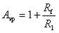
(1)通带增益Avp

通带增益是指滤波器在通频带内的电压放大倍数,如图3所示。性能良好的LPF通带内的幅频特性曲线是平坦的,阻带内的电压放大倍数基本为零。

(2)通带截止频率fp

其定义与放大电路的上限截止频率相同,见图3。通带与阻带之间称为过渡带,过渡带越窄,说明滤波器的选择性越好。

图3 LPF的幅频特性曲线

2.2 简单一阶低通有源滤波器

一阶低通滤波器的电路如图4所示,其幅频特性见图5,图中虚线为理想的情况,实线为实际的情况。特点是电路简单,阻带衰减太慢,选择性较差。

图4 一阶LPF图5 一阶LPF的幅频特性曲线

当f = 0时,电容器可视为开路,通带内的增益为

一阶低通滤波器的传递函数如下

,其中

该传递函数式的样子与一节RC低通环节的增益频率表达式差不多,只是缺少通带增益Avp这一项。

2.3 简单二阶低通有源滤波器

为了使输出电压在高频段以更快的速率下降,以改善滤波效果,再加一节RC低通滤波环节,称为二阶有源滤波电路。它比一阶低通滤波器的滤波效果更好。二阶LPF的电路图如图6所示,幅频特性曲线如图7所示。

图6 二阶LPF图7 二阶LPF的幅频特性曲线

(1)通带增益

当f = 0时,各电容器可视为开路,通带内的增益为

(2)二阶低通有源滤波器传递函数

根据图8-2.06可以写出

通常有 ,联立求解以上三式,可得滤波器的传递函数

(3)通带截止频率

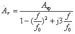
将s换成jω,令ω0=2πf0=1/(RC)可得

当f=fp 时,上式分母的模

解得截止频率:

与理想的二阶波特图相比,在超过f0以后,幅频特性以-40 dB/dec的速率下降,比一阶的下降快。但在通带截止频率fp→f0之间幅频特性下降的还不够快。

2.4 二阶压控型低通有源滤波器

(1)二阶压控型LPF

二阶压控型低通有源滤波器如图8所示。其中的一个电容器C1原来是接地的,现在改接到输出端。显然,C1的改接不影响通带增益。

图8 二阶压控型LPF图9 二阶压控型LPF的幅频特性

(2)二阶压控型LPF的传递函数

对于节点N,可以列出下列方程

联立求解以上三式,可得LPF的传递函数

上式表明,该滤波器的通带增益应小于3,才能保障电路稳定工作。

(3)频率响应

由传递函数可以写出频率响应的表达式

当f=f0时,上式可以化简为

定义有源滤波器的品质因数Q值为f=f0时的电压放大倍数的模与通带增益之比

以上两式表明,当21,在f=f0处的电压增益将大于Avp,幅频特性在f=f0处将抬高,具体请参阅图9。当Avp≥3时,Q=∞,有源滤波器自激。由于将C1接到输出端,等于在高频端给LPF加了一点正反馈,所以在高频端的放大倍数有所抬高,甚至可能引起自激。

2.5 二阶反相型低通有源滤波器

二阶反相型LPF如图8-2.10所示,它是在反相比例积分器的输入端再加一节RC低通电路而构成。二阶反相型LPF的改进电路如图8-2.11所示。

图10 反相型二阶LPF图11 多路反馈反相型二阶LPF

由图11可知

对于节点N,可以列出下列方程

传递函数为

频率响应为

以上各式中

3 有源高通滤波器(HPF)

二阶压控型有源高通滤波器的电路图如13.12图所示

图12 二阶压控型HPF图13 二阶压控型HPF频率特性

(1)通带增益

(2)传递函数

(3)频率响应

,则可得出频响表达式

由此绘出的频率响应特性曲线如图13所示。

结论:当f《 f0 时,幅频特性曲线的斜率为+40 dB/dec;当Avp≥3时,电路自激。

4 有源带通滤波器(BPF)和带阻滤波器(BEF)

有源带通滤波器(BPF)电路如图14所示。有源带阻滤波器(BEF)电路如图15所示。

带通滤波器是由低通RC环节和高通RC环节组合而成的。要将高通的下限截止频率设置为小于低通的上限截止频率。反之则为带阻滤波器。

图14 二阶压控型BPF图15 二阶压控型BEF

要想获得好的滤波特性,一般需要较高的阶数。滤波器的设计计算十分麻烦,需要时可借助于工程计算曲线和有关计算机辅助设计软件。

例1: 要求二阶压控型LPF的fc=400Hz,Q值为0.7,试求图16电路中的电阻、电容值。

图16 二阶压控型LPF

解:根据fc,选取C,再求R 。

1. C的容量不易超过1uF 。因大容量的电容器体积大,价格高,应尽量避免使用。

取C=0.1 uF,1kΩ

计算出R=3979Ω ,取 R=3.9kΩ

2.根据Q值求R1和Rf,因为f=fc时Q=1/(3-Avp)=0.7 ,则Avp=1.57 。根据Avp与R1、Rf的关系,集成运放两输入端外接电阻的对称条件1+Rf/R1=Avp=1.57,R1//Rf=R+R=2R 。解得:

可能会用到的工具/仪表
本站简介 | 意见建议 | 免责声明 | 版权声明 | 联系我们
CopyRight@2024-2039 嵌入式资源网
蜀ICP备2021025729号